Sie sind hier: [Home] ⊳ [Mathematik] ⊳ [Quotienten Regel]
Quotienten Regel
Wie die Kettenregel ist auch die Quotienten Regel ein der grundlegenden Regeln in der Differentialrechnung.
Was ist in der Mathematik ein Quotient?
Der Quotient ist in der Mathematik, wie allgemein in den Naturwissenschaften, das Verhältnis zweier Größen zueinander oder anders ausgedrückt das Ergebnis aus einer Division. Der Quotient wird entweder als Bruch geschrieben, etwa 2/3, also zwei Drittel einer bestimmten Menge, oder in Prozent, 75 % von 100. In Bezug auf die Differentialrechnung ist der Quotient die Menge aus dem Steigungsdreieck zwischen den Katheten, den Δx und Δu Achsen bei mathematischen Graphen.

https://de.wikipedia.org/wiki/Benutzer:Honina
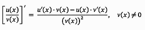
Es gibt sehr viele Regeln in der Differentialrechnung, eine davon ist die Quotientenregel. Es geht bei der Quotientenregel darum, den Quotienten aus Funktionen abzuleiten, die aus Zähler und Nenner bestehen, also aus Brüchen. Folgende Definition ist hierfür gegeben:

Beispiel:

Prinzipiell entspricht der Zähler in der Quotientenregel der Produktregel. Der Unterschied besteht darin, dass dort, wo die Produktregel ein Plus-Zeichen aufweist, bei der Quotientenregel ein Minus-Zeichen steht.
Die Formel zur Ableitung von Brüchen:

Anhand eines weiteren Beispiels wird die Quotientenregel in Teilschritten erklärt:

Schritt 1: Zuerst werden Nenner und Zähler getrennt abgeleitet. Als eigenständige Funktionen wird der Nenner mit h bezeichnet und der Zähler mit g.
g = x5 + 1
h = x2
Die Ableitung
g' = 5x4
h' = 2x
Schritt 2: Zur Ableitung des Bruchs müssen nun die Teilfunktionen sowie ihre Ableitungen in die Formel eingesetzt werden. Sehr wichtig: die Klammern nicht vergessen

Fragen und Aufgaben zur Quotientenregel
-
Vollziehe zu folgender Funktion die Quotientenregel: f(x) = ex ÷ x
Antwort:
1. Zähler und Nenner ableiten
g = ex ⇒ g' = ex
h = x ⇒ h' = 12. Einsetzen der Quotientenregel

3. Terme vereinfachen

4. Ableitung von f ist:

-
Wende die Quotientenregel an für f(x) = x2 ÷ (2x+4)
Antwort:
1. Zähler und Nenner ableiten
u(x)=x2 ⇒ u'(x)=2x
v(x)=2x+4 ⇒ v'(x)=22. Einsetzen der Quotientenregel

3. Terme vereinfachen

-
Wende die Quotientenregel an für f(x)=tan(x)=sin(x) ÷ cos(x)
Antwort: Hier kann direkt in die Quotientenregel eingesetzt werden

Zähler in Kurzschreibweise verwenden
sin2(x) = (sin(x)) 2 bzw. cos2(x) = (cos(x)) 2zwei Möglichkeiten zur Vereinfachung;
Einmal in den Zähler den trigonometrischen Pythagoras sin2(x)+cos2(x) =1 einsetzen und erhält f'(x) = 1÷ cos2 (x). Zum anderen den Bruch in eine Summe von zwei Brüchen aufteilen. Im einen Bruch wird gekürzt, im anderen sin(x) ÷ cos(x) durch tan(x) ersetzt, so dass man ein bruchfreies Ergebnis erhält:

-
Wende die Quotientenregel an für f(x )= 4x2 ÷ (x2+1) 3
Antwort: Da im Nenner eine Klammer steht und somit zusätzlich die Kettenregel notwendig ist, werden hier zunächst die einzelnen Ableitungen notiert:
u(x) = 4x2 ⇒ u'(x)=8x
v(x)=(x2 +1) 3 ⇒ v'(x)=3(x2 +1) 2 ∗ 2xDer Nenner wird zu ((x2 +1) 3)2 = (x2 +1) 3 ∗2 = (x2 +1) 6.
Die Ableitung v'(x) des Nenners sollte nicht ausmultipliziert werden! Den Grund ist nach dem Einsetzen in die Quotientenregel ersichtlich:

Sowohl im ersten Teil u'∗v als auch im zweiten Teil u∗v' kommt der Faktor (x2+1) vor, im ersten Teil mit der Hochzahl 3, im zweiten Teil mit der Hochzahl 2. Man kann den Faktor also mit der kleineren Hochzahl 2 ausklammern – das hätte man nicht gesehen, wenn man v'(x) ausmultipliziert hätte.

Jetzt wird gekürzt, so dass im Nenner nur noch der Exponent 6 - 2 = 4 auftaucht. Gleichzeitig wird im Zähler innerhalb der eckigen Klammer ausmultipliziert und anschließend zusammengefasst:

[ © www.quizfragen4kids.de | Quizfragen nicht nur für Kinder | Alle Fragen und Lösungen ohne Gewähr]
↩ Zurück | ↑ Nach oben | Home | Impressum & Kontakt
© www.quizfragen4kids.de