

Sie sind hier: [Home] ⊳ [Mathematik] ⊳ [Polynomdivision]
Polynomdivision
Die Polynomdivision, auch Teil- oder Partialdivision genannt, ist eine mathematische Berechnungsmethode, bei der ein Polynom durch ein anderes geteilt wird. Das Ergebnis ist ein Ganzteil-Polynom und möglicherweise ein Restpolynom. Der Prozess ähnelt dem Teilungsvorgang, bei dem eine Zahl geteilt wird. Obwohl dabei die kleineren Dezimalstellen vorübergehend ignoriert werden und die nächste Ziffer des Ergebnisses erraten werden kann, wird in der Polynomdivision der nächste Koeffizient durch Division der verbliebenen höchsten Koeffizienten genau errechnet.
Was ist ein Polynom?
Ein Polynom stellt die Summierung der Vielfachen von Potenzen einer Unbestimmten oder Variablen dar:
P(x) = a0 + a1x + a2x2…. + anxn, n≥0
Darstellung mit Summenzeichen:
Wo wird die Polynomdivision angewendet?
Das Lösen von Gleichungen höheren Grades ist beispielsweise eine Anwendung der Polynomdivision. Ist eine Lösung bekannt (siehe Nullstelle), kann die Polynomdivision Anwendung finden, um bei der Gleichung den Grad um Eins abzusenken. Dies wird das Abspalten einer Nullstelle genannt.
Auch bei der Kurvendiskussion über die Bestimmung der Näherungskurven bei einer rationalen Funktion ist die Polydivision hilfreich.
Weitere Einsatzgebiete sind:
Partialbruchzerlegung
Prüfsummenberechnung
Ablauf:
Polynome mit ganzzahligen Koeffizienten werden genauso wie in der Division ganzer Zahlen gelöst. Zunächst wird der Summand des höchsten Grads des Polynoms p gelöscht. Hierzu wird der höchste Summand von p durch den höchsten Summand von q geteilt. Der dadurch entstehende Rest besitzt einen kleineren Grad als der Divisor p. In den folgenden Schritten wird der erste Schritt, Teilung des höchsten Summand p durch Summand q, solange wiederholt, bis der Rest einen kleineren Grad als der Divisor q aufweist und damit nicht mehr teilbar ist.
Dass sich hiernach p ( x ) nicht weiter durch q ( x ) teilen lässt, ist gleichbedeutend damit, dass der Polynomgrad von p ( x ) kleiner ist als der von q ( x ), weshalb dies in der formalen Definition der Rechenvorschrift, dem Algorithmus, auch als Abbruchbedingung gefordert wird. In der Zahlendivision mit Rest wird stattdessen gefordert, dass der Rest kleiner als der Divisor ist. Beide Nebenbedingungen sorgen im jeweiligen Verfahren dafür, dass der Rest eindeutig bestimmt ist.
Bei der formalen Definition des Verfahrens werden einige zusätzliche Bedingungen beachtet. Das kommt daher, dass man Polynome im Allgemeinen viel weitläufiger definieren kann, als es hier zur einfacheren Erklärung geschehen ist oder man es zum Beispiel aus der Schule kennt. Die Koeffizienten eines Polynoms etwa können dann aus beliebigen Ringen (algebraischen Strukturen) stammen. Dann dürfen aber wiederum die Koeffizienten der beiden Polynome nicht aus verschiedenen Ringen stammen. Daher definiert man, dass die Polynome in einem gemeinsamen Polynomring liegen müssen. Auch reicht es nicht mehr zu fordern, dass der „höchste“ Koeffizient (der Leitkoeffizient) bm von q ( x ) nur ungleich Null sein müsse. Vielmehr ist es erforderlich, dass er eine Einheit des Ringes ist.
Fragen und Aufgaben zur Polynomdivision
-
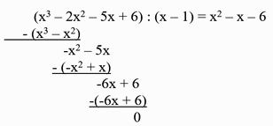
1. Gegeben ist die Funktion y = f(x) = x3 - 2x2 - 5x + 6 . Eine Nullstelle ist bei x = 1. Führe eine Polynomdivision durch.
2. Führe mit dem Ergebnis aus 1a) eine Probe durch.Antwort: Zu 1.
Zu 2.
(x2 – x – 6) * (x – 1) = x3 – 2x2 – 5x + 6
-
Bei der Nullstellenbestimmung wird das Polynom in vier Funktionen eingeteilt. Welches sind diese?
Antwort:
1. Konstante Funktion (Grad Null)
2. Lineare Funktion (Grad 1)
3. Quadratische Funktion (Grad 2)
4. Kubische Funktion (Grad 3) -
Was ist das Horner-Schema?
Antwort: Der englische Mathematiker William George Horner veröffentlichte im Jahr 1819 das nach ihm benannte Horner-Schema, ein Umformungsverfahren für Polynome, um damit die Berechnung von Funktionswerten zu erleichtern.
-
Nenne die wichtigste Anwendungsmöglichkeit des Horner-Schemas in Bezug auf Polynomdivisionen?
Antwort: Das Horner-Schema erlaubt die Umwandlung von Polynomen in verschiedene Zahlensysteme, etwa dem Dezimal- aber auch dem Binärsystem.
[ © www.quizfragen4kids.de | Quizfragen nicht nur für Kinder | Alle Fragen und Lösungen ohne Gewähr]
↩ Zurück | ↑ Nach oben | Home | Impressum & Kontakt
© www.quizfragen4kids.de